Phospholipids are a class of lipids, according to the structure of the main chain is divided into glycerophospholipids and sphingomyelin. Guanjie Biotech has focused on phospholipid powder products for more than 20 years. Today let's talk about the differences. Among them, glycerophospholipids are important structural components of cellular and subcellular membranes, and their structure contains a polar hydrophilic head composed of a glycerol backbone and a phosphate group and a hydrophobic tail composed of two fatty acids. This unique structure allows phospholipids to form the basis of biological membranes.
Depending on the molecular functional group attached to the phosphate group in the head, phospholipid powder products can be classified as phosphatidic acid powder(PA), phosphatidylinositol powder (PI), phosphatidylserine powder (PS), phosphatidylethanolamine powder (PE), and phosphatidylcholine powder(PC), etc. Each of which can be found in a number of species depending on the fatty acids of which they are composed, and which make up the diversity and complexity of the structure of phospholipids in biological systems.

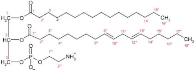
Figure 1. Phospholipid structure and major glycerophospholipid types
The brain and nervous system are particularly rich in phospholipids, accounting for about 50% of their dry weight[1] and are more diverse in composition than other body tissues[2] . According to studies, phospholipids in the rat brain include: phosphatidylethanolamine (PE) at approximately 54 nmol/mg tissue, phosphatidylcholine (PC) at 31 nmol/mg tissue, phosphatidylserine (PS) at 8 nmol/mg tissue, and phosphatidylinositol (PI) at 5 nmol/mg tissue[3] . Phospholipid supplementation has been shown to help reduce inflammation, improve cognitive function, reduce the risk of cardiovascular disease, support healthy skin and hair, and more. Different types of phospholipids have been shown to have different physiological benefits.
1. Phosphatidic acid (PA)
Phosphatidic acid (PA) is an anionic phospholipid important for cellular signalling and direct activation of lipid-gated ion channels, accounting for approximately 0.25% of bilayer phospholipids.PA plays a central role as a biosynthetic precursor for membrane glycerophospholipids and triacylglycerol synthesis [4]. It is also an important second messenger in cells and plays a role in many cellular functions.

Phosphatidic acid powder (PA) has been shown to reduce cortisol levels and alleviate a number of stress-related disorders such as depression and mood disorders [5]. Phosphatidic acid (PA) significantly activates mTOR protein kinase, which is widely recognised as a key regulator of muscle growth, and clinical studies have demonstrated that PA supplementation can have a positive effect on strength and body composition in individuals undergoing resistance training [6].
2. Phosphatidylethanolamine (PE)
Phosphatidylethanolamine powder (PE) is the second most abundant phospholipid in cells, accounting for approximately 15-25% of the total lipid content of cell membranes. Phosphatidylethanolamine (PE) has many different cellular functions and is a precursor to other key phospholipids including phosphatidylcholine (PC) and phosphatidylserine (PS) [7]. In addition, phosphatidylethanolamine (PE) contributes to the production and folding of proteins, powers the activities of multiple energy-producing cellular respiratory complexes, supports optimal membrane topology and dynamics, facilitates cellular and organelle membrane fusion, promotes mitochondrial biosynthesis, and plays a key role in the initiation of cellular autophagy [8]. Cellular autophagy is an important process that allows the body to 'clear' any damaged cells or cellular components [9].

Phosphatidylethanolamine powder (PE) is essential for life, and if the pathways that produce PE are damaged, life cannot exist. Even minor damage to the pathways that lead to changes in phosphatidylethanolamine (PE) levels in the body has been linked to Alzheimer's disease and Parkinson's disease [10]. In addition, an abnormal ratio of phosphatidylcholine (PC) to phosphatidylethanolamine (PE) in the liver may be a factor contributing to liver disease and affecting glucose metabolism. Phosphatidylethanolamine (PE) may help protect cardiac cells from damage through its role in aiding protein folding; additionally phosphatidylethanolamine (PE) helps stabilise the sarcoplasmic membrane of cardiac tissues when oxygen supply is low [11].
3. Phosphatidylserine (PS)
Phosphatidylserine powder (PS) is an essential phospholipid. Up to 10% of the phospholipid content of cell membranes is phosphatidylserine (PS), which is necessary for proper recognition and communication between cells. Current studies have demonstrated that phosphatidylserine (PS) enhances cellular metabolism and biochemical information transfer by regulating the function of membrane proteins and influencing the fluidity of cell membranes, which directly affects cortisol function and intelligence [12].

Phospholipid powder includes phosphatidylserine powder. Clinical studies have shown that phosphatidylserine (PS) supplementation appears to be effective in improving memory, supporting adaptation to stress, moderating the perception of stressful loads, and enhancing actual performance and recovery in a variety of stressful situations, including intensive athletic training and demanding mental and emotional tasks, as well as supporting healthy skin efficacy [13,14,15,16].
4. Phosphatidylinositol (PI)
Phosphatidylinositol powder (PI) is abundant in brain tissue, accounting for about 2-10% of the total membrane lipids. Phosphatidylinositol (PI) is a precursor of phosphatidylinositols such as phosphatidylinositol (3,4,5)-trisphosphate (PIP3), which plays an important role in intracellular signalling, vesicular transport and cytoskeletal dynamics.

Phosphatidylinositol (PI) has significant lipid metabolism effects in a number of different cell lines and may uniquely affect the hepatic and intestinal metabolism of cholesterol and triglycerides [17]; dietary phosphatidylinositol (PI) significantly prevents the development of hepatomegaly and hepatic steatosis and reduces markers of hepatic injury in serum [18]. In addition phosphatidylinositol (PI) possesses the characteristics of phospholipids and the advantages of liposomes, with multiple effects such as moisturising, whitening and antioxidant.
5. Phosphatidylcholine (PC)
Phosphatidylcholine powder (PC) is a major membrane lipid component, accounting for more than 50% of total glycerophospholipids. Phosphatidylcholine (PC) can maintain the integrity of brain cell membranes and coordinate many cellular functions, especially cell growth, homeostasis, secretion, recognition and communication.

Studies have demonstrated that Phosphatidylcholine (PC) repairs brain cells and neural connections and is directly involved in the synthesis of Acetylcholine (ACh), which improves alertness, cognition, attention, memory and mood. Phosphatidylcholine (PC) can potentially promote brain health, enhance liver function, reduce inflammation, lower cholesterol levels, improve athletic performance, and promote skin health, among other effects [9].
Guanjie Biotech provides you phospholipid powder. Welcome to request samples and information:info@gybiotech.com.
References:
[1]T. Hornemann, Mini review: Lipids in peripheral nerve disorders. Neurosci. Lett.740, 135455 (2020).
[2]K.Bozek,Y.Wei,Z.Yan,X.Liu,J.Xiong,M.Sugimoto,et al.Organization and evolution of brain lipidome revealed by large-scale analysis of human, chimpanzee, macaque, and mouse tissues.Neuron,85(2015), pp.695-702.
[3]J.Choi,T.Yin,K.Shinozaki,J.W.Lampe,J.F.Stevens,L.B.Becker,et al.Comprehensive analysis of phospholipids in the brain, heart, kidney, and liver: brain phospholipids are least enriched with polyunsaturated fatty acids.Mol.Cell.Biochem.,442(2018),pp.187-201.
[4]Athenstaedt K, Daum G. Phosphatidic acid, a key intermediate in lipid metabolism. Eur J Biochem. 1999;266(1):1–16.
[5]Hellhammer J, Vogt D, Franz N, Freitas U, Rutenberg D. A soy-based phosphatidylserine/ phosphatidic acid complex (PAS) normalizes the stress reactivity of hypothalamus-pituitary-adrenal-axis in chronically stressed male subjects: a randomized, placebo-controlled study. Lipids Health Dis. 2014 Jul 31;13:121.
[6]Bond, P. Phosphatidic acid: biosynthesis, pharmacokinetics, mechanisms of action and effect on strength and body composition in resistance-trained individuals. Nutr Metab (Lond) 14, 12 (2017).
[7]Gibellini F, Smith TK.The Kennedy pathway--De novo synthesis of phosphatidylethanolamine and phosphatidylcholine.IUBMB Life. 2010;62(6):414-28.
[8]Glick D, Barth S, Macleod KF.Autophagy: cellular and molecular mechanisms.J Pathol. 2010;221(1):3-12.
[9]Vance JE, Tasseva G.Formation and function of phosphatidylserine and phosphatidylethanolamine in mammalian cells.Biochim Biophys Acta.2013;1831(3):543-54.
[10]Patel D,Witt SN.Ethanolamine and Phosphatidylethanolamine: Partners in Health and Disease.Oxid Med Cell Longev. 2017;2017:4829180.
[11].Vance J.E.,Tasseva G.Formation and function of phosphatidylserine and phosphatidylethanolamine in mammalian cells.Biochimica et Biophysica Acta-Molecular and Cell Biology of Lipids.2013;1831(3):543–554.
[12]Canar,L.Phosphatidylserine: Cell Membrane Nutrient for Stress Resiliency.Chronobiology. 2016;1(23):1-2.
[13]Moré MI,Freitas U,Rutenberg D.Positive effects of soy lecithin-derived phosphatidylserine plus phosphatidic acid on memory, cognition,daily functioning,and mood in elderly patients with Alzheimer's disease and dementia. Adv Ther.2014;31(12):1247-1262.
[14]Hellhammer et al. Lipids in Health and Disease 2014, 13:121
[15]Journal of the International Society of Sports Nutrition 2008, 5:11
[16]J Korean Soc Appl Biol Chem (2013) 56, 227−235.
[17]Jim W. Burgess, Tracey A-M. Neville, Patricia Rouillard, Zdena Harder, Donald S. Beanlands, Daniel L. Sparks,Phosphatidylinositol increases HDL-C levels in humans,Journal of Lipid Research,Volume 46, Issue 2,
2005,P350-355.
[18]Bungo Shirouchi, Koji Nagao, Nao Inoue, Kenta Furuya, Shinji Koga, Hideyuki Matsumoto, and Teruyoshi Yanagita.Dietary Phosphatidylinositol Prevents the Development of Nonalcoholic Fatty Liver Disease in Zucker (fa/fa) Rats.Journal of Agricultural and Food Chemistry.2008,56(7), 2375-2379.






